流体力学
流体力学将物体建模为物质在其体内连续分布的实体,称为流体微团。
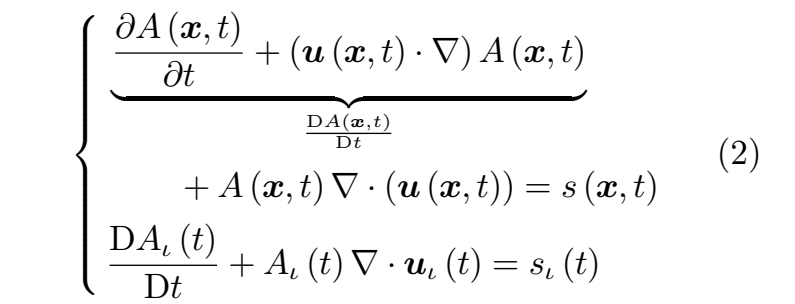
连续性方程描述了物理量在时空中的输运

其中:
- A 可为任意标量、矢量或张量形式的物理属性,
- u 表示速度,
- s 是 A 的源项,
- 所有这些量均定义于时间 t 和位置 x。
公式 (1) 表明,在固定位置处任何物理属性的变化率 ∂A/∂t 取决于 Au 通量所带来的变化以及源项 s 的贡献。
针对公式 (1) 中的物理属性 A,流场可从拉格朗日或欧拉视角进行分析:
欧拉视角 基于固定位置来研究物理属性的变化。在给定位置 x 处物理量 A 的变化率即为公式 (1) 中的 ∂A(x, t)/∂t 项。虽然直观,但这一视角并未显式表达连续介质假设中流体微团的运动,因为微团始终在不同时刻流经固定的空间位置。
拉格朗日视角 通过将公式 (1) 改写为以下形式,研究流体微团的物理属性变化:

其中 D(·)/Dt 即所谓的物质导数,表示流体微团内物理量 A 的变化率。
纳维-斯托克斯方程
纳维-斯托克斯方程描述了流体流动的动力学规律,是流体仿真的根本基础。
质量守恒
在封闭系统中,流体的质量随时间保持守恒。该原理由连续性方程(公式(2))表示。令 A 为流体密度,并设 s ≡ 0,则公式(2)可改写为:

在不可压缩流动的情况下,流体内的密度变化保持恒定,即 Dρ/Dt = 0。该条件进一步意味着速度场无散度,其表达式为:

纳维-斯托克斯动量方程
为进一步描述不可压缩流体流动的运动特性,可对每个流体微团的动量进行分析。将动量项 ρu 代入公式(1),并利用公式(2),可得:

其中 sm 是改变各流体微团速度的动量源项,符号 ⊗ 表示外积运算。在此基础上,黏性可压缩流的纳维-斯托克斯动量方程基本形式进一步将 sm 具体表述为三个独立项:

其中 p 表示压力,g 为重力加速度,µ 是描述流体粘性程度的动态粘性系数。公式(6)表明,流体微团的速度变化率受三个力项的影响:压力项(−∇p)、粘性项(µ∇2u) 以及重力项(ρg)。
本文出自CaterpillarStudyGroup,转载请注明出处。
https://caterpillarstudygroup.github.io/GAMES103_mdbook/